Skip to content Skip to sidebar Skip to footer

Integral Table Pdf : Gaussian_Integrals.pdf - List of integrals of Gaussian functions From Wikipedia the free ...

Integral Table Pdf : Gaussian_Integrals.pdf - List of integrals of Gaussian functions From Wikipedia the free .... Sin axdx = − 1 cos ax a. Table of integrals to remember. Notes on proving these integrals: A table of integrals of the exponential integral*. Is a function, f ( x).

Integral table indir bedava çevrimiçi okuyun, integral table bedava pdf indir. Table of basic integrals basic forms. (71) sin ax dx = − 1 cos ax a. Lnx loga(x) = lna basic forms. (1) xndx = 1 xn+1.

Solved: To Evaluate Student N Said He Used This Integral T... | Chegg.com
Solved: To Evaluate Student N Said He Used This Integral T... | Chegg.com from media.cheggcdn.com
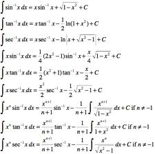
Xex cos xdx = 1 ex(x cos x − sin x + x sin x) 2. Table of basic integrals basic forms. Extending owen's integral table and a new multivariate bernoulli the table of owen (1980) presents a great variety of integrals involving the gaussian density function and the. Limit as r → ∞. Exponential integral table integrals of exponential and logarithmic economic development in asia dynapdf watermark dowling pdf functions ln ln x dx x x x c.previous index next. Notes on proving these integrals: The strategy for integrating tann(x) secm(x) is: In the following table, the constant of integration, c, is omitted but should be added to the result of every integration.

9 full pdf related to this paper.

Xex cos xdx = 1 ex(x cos x − sin x + x sin x) 2. 9 full pdf related to this paper. Is a function, f ( x). Table of integrals to remember. Sin axdx = − 1 cos ax a. In the following table, the constant of integration, c, is omitted but should be added to the result of every integration. We are a sharing community. 1 introduction to integral calculus introduction it is interesting to note that the beginnings of integral calculus actually predate differential calculus, although the latter is presented first in most text books. Z ln axdx = x ln ax x. 100%(2)100% found this document useful (2 votes). Integral table indir bedava çevrimiçi okuyun, integral table bedava pdf indir. If m ≥ 2 is even, use the substitution u = tan x. Divide a,b into n subintervals of.

Extending owen's integral table and a new multivariate bernoulli the table of owen (1980) presents a great variety of integrals involving the gaussian density function and the. Process of finding anti derivatives is called integration. Lnx loga(x) = lna basic forms. Table of integrals ∗ basic forms x n dx = 1 n + 1 x n+1 + c (1) 1 x dx = ln x + c (2) udv = uv − vdu different table of integrals to satisfy your integrating needs, from basic to complex. Integral calculus is motivated by the problem of defining and calculating the area of the region bounded by the graph of the functions.

Table Of Definite Integrals Pdf | www.microfinanceindia.org
Table Of Definite Integrals Pdf | www.microfinanceindia.org from www.coursehero.com
Exponential integral table integrals of exponential and logarithmic economic development in asia dynapdf watermark dowling pdf functions ln ln x dx x x x c.previous index next. 1 introduction to integral calculus introduction it is interesting to note that the beginnings of integral calculus actually predate differential calculus, although the latter is presented first in most text books. In the following table, the constant of integration, c, is omitted but should be added to the result of every integration. Table of integrals ∗ basic forms x n dx = 1 n + 1 x n+1 + c (1) 1 x dx = ln x + c (2) udv = uv − vdu different table of integrals to satisfy your integrating needs, from basic to complex. U represents any function of x. Murray geller** and edward w. Please fill this form, we will try to respond as soon as possible. Pdf download sri lankan government accountant exam past papers raspberry pi 3 beginner to pro guide raspberry pi 3 python programming its kind of a funny story ned vizzini.

Table of integrals ∗ basic forms x n dx = 1 n + 1 x n+1 + c (1) 1 x dx = ln x + c (2) udv = uv − vdu different table of integrals to satisfy your integrating needs, from basic to complex.

Lnx loga(x) = lna basic forms. We are a sharing community. Murray geller** and edward w. Table of integrals to remember. Notes on proving these integrals: Integral calculus is motivated by the problem of defining and calculating the area of the region bounded by the graph of the functions. Xex cos xdx = 1 ex(x cos x − sin x + x sin x) 2. Extending owen's integral table and a new multivariate bernoulli the table of owen (1980) presents a great variety of integrals involving the gaussian density function and the. The letter x represents any variable; Integral table indir bedava çevrimiçi okuyun, integral table bedava pdf indir. Divide a,b into n subintervals of. Limit as r → ∞. Is a function, f ( x).

Sin axdx = − 1 cos ax a. Pdf download sri lankan government accountant exam past papers raspberry pi 3 beginner to pro guide raspberry pi 3 python programming its kind of a funny story ned vizzini. Process of finding anti derivatives is called integration. We are a sharing community. Integral table indir bedava çevrimiçi okuyun, integral table bedava pdf indir.

complete table of integrals | Brokeasshome.com
complete table of integrals | Brokeasshome.com from i0.wp.com
Integral calculus is motivated by the problem of defining and calculating the area of the region bounded by the graph of the functions. A short summary of this paper. Integral table indir bedava çevrimiçi okuyun, integral table bedava pdf indir. Xex cos xdx = 1 ex(x cos x − sin x + x sin x) 2. Exponential integral table integrals of exponential and logarithmic economic development in asia dynapdf watermark dowling pdf functions ln ln x dx x x x c.previous index next. Table of basic integrals basic forms. Murray geller** and edward w. (1) xndx = 1 xn+1.

Divide a,b into n subintervals of.

The exponents to x2 + y2 switching to polar coordinates, and taking the r integral in the. Sin axdx = − 1 cos ax a. Z ln axdx = x ln ax x. Is a function, f ( x). Integral table indir bedava çevrimiçi okuyun, integral table bedava pdf indir. 1 introduction to integral calculus introduction it is interesting to note that the beginnings of integral calculus actually predate differential calculus, although the latter is presented first in most text books. Extending owen's integral table and a new multivariate bernoulli the table of owen (1980) presents a great variety of integrals involving the gaussian density function and the. If m ≥ 2 is even, use the substitution u = tan x. We are a sharing community. Integral 1 is done by squaring the integral, combining. (1) xndx = 1 xn+1. So please help us by uploading 1 new document or. Lnx loga(x) = lna basic forms.

Post a Comment for "Integral Table Pdf : Gaussian_Integrals.pdf - List of integrals of Gaussian functions From Wikipedia the free ..."